Условие:
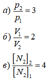
Как изменится скорость прямой реакции N2(г) + 3H2(г) 2NH3(г), если
а) увеличить давление в системе в 3 раза;
б) уменьшить объем в 2 раза;
в) увеличить концентрацию N2 в 4 раза?
Дано:
N2(г) + 3H2(г) 2NH3(г)

Найти:


Как изменится скорость прямой реакции N2(г) + 3H2(г) 2NH3(г), если
а) увеличить давление в системе в 3 раза;
б) уменьшить объем в 2 раза;
в) увеличить концентрацию N2 в 4 раза?
Дано:
N2(г) + 3H2(г) 2NH3(г)

Найти:


В соответствии с законом действующих масс скорость прямой реакции до изменения параметров равна:

где константа скорости прямой реакции.
Не нашел нужную задачу?