Условие:
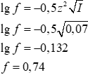
Рассчитайте рН растворов электролитов, данных в столбцах 1 и 2 для концентраций в столбцах 1а и 2а, соответственно. Для этого:
- в случае раствора сильного электролита определите ионную силу раствора и активность катионов и анионов в этом растворе;
- в случае раствора слабого электролита рассчитайте степень диссоциации по приближенной и строгой формуле Оствальда, сравните два значения и сделайте вывод о возможности использования приближенной формулы в Вашем случае.


