Условие:
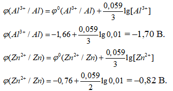
Рассчитайте величину электродвижущей силы для двух указанных гальванических элементов, сравните ее значения. На основании уравнений электродных процессов запишите схемы гальванических элементов и составьте уравнения токообразующих реакций. Концентрация электролитов 0,01 моль/л. При решении задачи используйте ряд СЭП и уравнение Нернста.
Al/AlCl3 и Zn/ZnCl2
Fe/FeSO4 и Ag/AgNO3

