Условие:
Сторона А решает задачу прорыва к объекту, прикрываемому стороной В, с трех направлений. Средства стороны А образуют потоки требований с интенсивностями λ1 (1-е направление), λ2 (2-е направление) и λ3 (3-е направление). В распоряжении стороны В четыре канала СМО. Производительность канала μ=0,3.
Варианты стратегии стороны А. Варианты стратегии стороны В
Направления Каналы
А1 λ1=0,5; λ2=0,5; λ3=0 В1 2 1 1
А2 λ1=0,4; λ2=0,3; λ3=0,3 В2 3 1 0
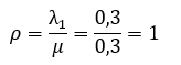
А3 λ1=0,3; λ2=0,4; λ3=0,3 В3 2 2 0
А4 λ1=0,4; λ2=0,4; λ3=0,2 В4 1 2 1
Какую стратегию из двух возможных выбрать стороне В при заданной стратегии стороны А?
А3, В1 или В2


