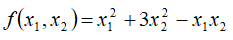
Решить задачу с помощью необходимых и достаточных условий оптимальности:
Воспользуемся теоремой 1 (необходимое условие оптимальности), т.е.
Дан массив размера N. Найти два соседних элемента, сумма которых максимальна, и вывести эти элементы в порядке возрастания их индексов.
Информатика
Рассчитайте время звучания моноаудиофайла, если при 16-битном кодировании и частоте дискретизации 32 кГц его объем равен 700 Кбайт.
Необходимо кодировать в двоичном коде сообщение, алфавит которого состоит из двух независимых символов z1 и z2, вероятность которых p1 и p2 даны. Провести кодирование по одному символу, блоками по два и по три символа, используя метод Хаффмана.
GPT бот для написания реферата
Нейронка для генерации проектных работ
Нейронка для решения задач
Нейронка для решения задач по фото
Нейронка для генерации научных статей
Нейронка для отчёта по практике
Нейронка для помощи с курсовой
Нейронка для решения физики по фото
Нейронка для генерации списков литературы
Нейронка для решения задач по математике