Условие:
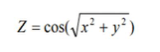
С использованием средств MS Excel построить изображение трехмерной функции в диапазоне изменения X и Y от -10 до 10 с шагом 1, называемой "Ковбойская шляпа" и определяемой уравнением:


С использованием средств MS Excel построить изображение трехмерной функции в диапазоне изменения X и Y от -10 до 10 с шагом 1, называемой "Ковбойская шляпа" и определяемой уравнением:
