Условие:
Сколько различных решений имеет система логических уравнений:

где
– это логические переменные?

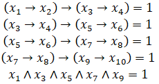
Сколько различных решений имеет система логических уравнений:

где
– это логические переменные?
1) Построим таблицу истинности для первого уравнения:

2) Оставим только те наборы, на которых функция равна единице и учтем последнее уравнение:должны быть равны единице:
Не нашел нужную задачу?