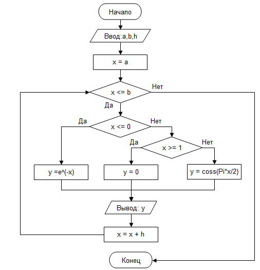
Условие:
Вычислить значения функции на промежутке [a;b] с шагом h. Значения a,b и h выберите самостоятельно так, чтобы выявить основные особенности поведения функции. В качестве оператора цикла используйте оператор DO…LOOP с предусловием. Составьте блок-схему алгоритма.

![Вычислить значения функции на промежутке [a;b] с шагом h. Значения a,b и h выберите самостоятельно так, чтобы выявить основные особенности поведения функции. В качестве оператора цикла используйте оператор DO…LOOP с предусловием.](/public/images/library/external/library-detail-hero-book.png)
