Условие:
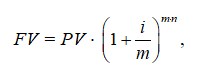
1. Если положить на депозит сумму 1400 тыс. руб. под 10% годовых с ежемесячным начислением, на какую сумму он увеличится в течение 4 лет.
2. Для покупки дачи ежегодно депонируется 250 тыс. руб. по ставке 10%. Какая сумма будет на счете через 2 лет.

