Условие:
Инвестор с целью инвестирования рассматривает два проекта – А и Б. Указанные проекты характеризуются следующими данными (в денежных единицах):
Таблица – Исходные данные

Ставка дисконтирования – 12% годовых.
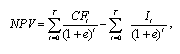
Оцените проекты А и Б с помощью показателей чистой текущей стоимости, индекса рентабельности и срока окупаемости и примите инвестиционное решение.


- коэффициент дисконтирования за период времени t.