Условие:
Для одноопорной балки, нагруженной сосредоточенными силами и парой сил с моментом m, построить эпюры поперечных сил и изгибающих моментов. Найти максимальный изгибающий момент и из условия прочности подобрать поперечное сечение для балки в виде двутавра и прямоугольника с соотношением сторон
. Материал – сталь, допускаемое напряжение 160МПа. Рассчитать площади поперечных сечений и сделать вывод о целесообразности применения сечения.
Исходные данные:

Решение:

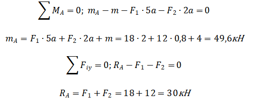
1. Определяем опорные реакции:

Проверка:
