Условие:
Монета подбрасывается n=1000 раз. Пусть Х – число выпавших гербов – случайная величина. Определите интервал возможных значений Х, симметричный относительно математического ожидания, внутри которого Х находится с вероятностью Р=0,997.

Монета подбрасывается n=1000 раз. Пусть Х – число выпавших гербов – случайная величина. Определите интервал возможных значений Х, симметричный относительно математического ожидания, внутри которого Х находится с вероятностью Р=0,997.
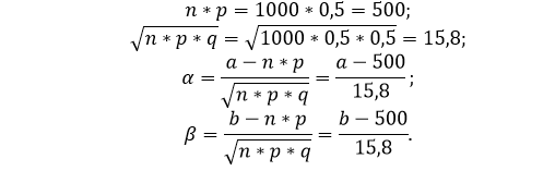
Для решения задачи воспользуемся интегральной теоремой Муавра-Лапласа. В нашем случае имеем:
- число измерений n = 1000;
- вероятность появления события p = 0.5;
- вероятность того, что событие не произойдет q = 1 - 0.5 = 0.5;
- границы интервала (a; b).
Определяем соответствующие величины:

Вероятность того, что Х примет знач...