Условие:
Определить постоянную времени термодатчика, если известно, что через τ = 3 с после скачкообразного изменения температуры среды, температура термодатчика составила 50˚С. Температура среды до изменения была 0˚С, температура среды после изменения 250˚С.
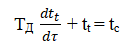
Теплообмен между термодатчиком и средой описывается уравнением вида:


