Условие:
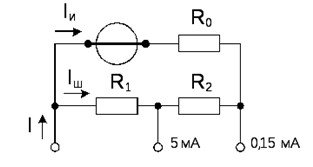
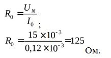
Ток полного отклонения милливольтметра I0, имеющего предел измерения UN = 15 мВ, максимальное число делений шкалы αmax = 150 дел., равен 0,12 мА. Схема миллиамперметра представлена на рис. 5.1.
Определить:
1) сопротивления шунтов R1 и R2 для расширения пределов измерения до
2) постоянные приборов на новых пределах измерения;
3) входные сопротивления миллиамперметров Ra1 и Ra2;
4) мощность, потребляемую на новых пределах измерения.

Рис.5.1. Схема двухпредельного миллиамперметра


. По закону Кирхгофа