Условие:
1. Разработать план выполнения опытно-конструкторских работ по созданию нового изделия в виде сетевого графика на основе приведенного перечня работ и трудоемкости их выполнения.
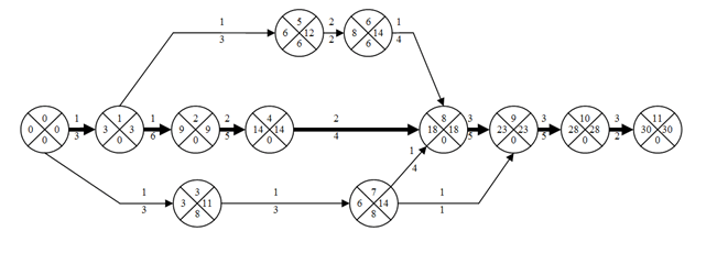
2. Провести расчет продолжительности каждой работы (i-j), исходя из заданной трудоемкости и установленной численности; построить сетевой график данного комплекса работ.
3. Рассчитать параметры сетевого графика: наиболее ранние (tip) и наиболее поздние (tiп) сроки свершения событий; резервы времени свершения событий (Ri); продолжительность критического пути. Внести полученные расчетные данные на сетевой график.
4. Показать на графике (выделить) критический путь. Перечислить события, находящиеся на критическом пути, и указать продолжительность работ по выполнению опытно-конструкторских работ.
5. Построить сетевой график и график движения людских ресурсов до оптимизации по параметру "время-ресурсы"
6. Предложить вариант оптимизации сетевого графика по параметру "время-ресурсы".


