Условие:
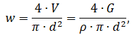
Из емкости всасывания с вакуумметрическим давлением 50,3 кПа в емкость нагнетания с избыточным давлением 2,1 атм, производится перемещение жидкости (м-ксилол) при температуре t=250С с массовым расходом G=19 т/ч. Внутренний диаметр труб 66 мм, их общая длина 50 м, а средняя шероховатость стенок труб 0,15 мм. При этом высота поднятия жидкости Нпод=15 м. Трубопровод содержит 2 нормальных вентиля, резкий поворот на
и 3 колена.
Принимая КПД насосной установки равным 0,65, определить мощность (в кВт), потребляемую электродвигателем.


