Условие:
Определить скорость воздуха (при 60 0С) в вертикальной трубе-сушилке, обеспечивающую восходящее движение частиц плотностью 200 кг/м3 и диаметром 3 мм.

Определить скорость воздуха (при 60 0С) в вертикальной трубе-сушилке, обеспечивающую восходящее движение частиц плотностью 200 кг/м3 и диаметром 3 мм.
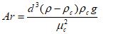
Критерий Архимеда:

При 60 0С:
плотность среды (воздуха);