Условие:
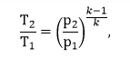
Определить требуемое число ступеней поршневого компрессора, который должен сжимать азот от 1 до 100 кгс/см2 (давление абсолютное), если допускаемая температура в конце сжатия не должна превышать 1400С. Процесс сжатия считать адиабатическим. Начальная температура азота 200С.
