Условие:
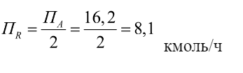
В реакторе идеального смешения протекает реакция 2А = R. Производительность по продукту А составляет 16,2 кмоль/ч, константа скорости реакции – 0,05 м3/(кмоль·с), степень превращения в реакторе – 0,65, концентрация вещества А в исходном потоке и в рецикле – 1,7 кмоль/м3.
Определите производительность установки по продукту R, объём реактора и объём рецикла.



