Условие:
Для балки требуется:
Построить эпюры поперечных сил
и изгибающих моментов 


Для балки требуется:
Построить эпюры поперечных сил
и изгибающих моментов 

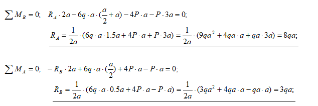
1) Определим реакции опор балки из уравнений равновесия балки.


проверка:
Не нашел нужную задачу?