Условие:
Для заданной схемы балки требуется:
1. Построить эпюры поперечных сил и изгибающих моментов.
2. Из условия прочности на изгиб подобрать стальную балку двутаврового поперечного сечения.
Дано:



Для заданной схемы балки требуется:
1. Построить эпюры поперечных сил и изгибающих моментов.
2. Из условия прочности на изгиб подобрать стальную балку двутаврового поперечного сечения.
Дано:


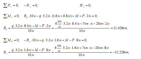
1) Определим реакции опор балки из уравнений равновесия балки.


Проверка: