Условие:
Численность работников в цехе на начало каждого месяца составила:

Определите среднесписочную численность работников в цехе за первый, второй квартал и полугодие.

Численность работников в цехе на начало каждого месяца составила:

Определите среднесписочную численность работников в цехе за первый, второй квартал и полугодие.
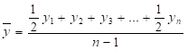
Определим среднесписочную численность работников в цехе по формуле средней хронологической простой, так как ряд динамики моментный с равными датами (на начало каждого месяца):

где n...
Не нашел нужную задачу?