Данные таблиц 1 тире 8 Приложение отражают результаты выборочного обследования предприятий региона Проведена 0 запятая 1 процентная случайная бесповторная выборка
«Данные таблиц 1 тире 8 Приложение отражают результаты выборочного обследования предприятий региона Проведена 0 запятая 1 процентная случайная бесповторная выборка»
- Статистика
Условие:
Данные таблиц 1-8 (Приложение) отражают результаты выборочного обследования предприятий региона. Проведена 0,1%-ная случайная бесповторная выборка. По данным группировки (задание №1) требуется определить:
а) с вероятностью 0,954 пределы среднего значения факторного признака во всей совокупности (т.е. в целом по региону),
б) с вероятность 0,997 пределы доли предприятий с наибольшим значением факторного признака по всей совокупности.
Решение:
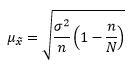
1. Средняя ошибка:

где
общая дисперсия выборочных значений признаков,
N число единиц в генеральной совокупности;
n число единиц в выборочной совокупности.
Поскольку выборка 0,1% процентная, то:
Похожие задачи
Не нашел нужную задачу?
Воспользуйся поиском
AI помощники
Выбери предмет
S
А
Б
В
Г
И
К
М
П
- Правоохранительные органы
- Пожарная безопасность
- Парикмахерское искусство
- Природообустройство и водопользование
- Почвоведение
- Приборостроение и оптотехника
- Промышленный маркетинг и менеджмент
- Производственный маркетинг и менеджмент
- Процессы и аппараты
- Программирование
- Право и юриспруденция
- Психология
- Политология
- Педагогика
Р
С
Т
- Трудовое право
- Теория государства и права (ТГП)
- Таможенное право
- Теория игр
- Текстильная промышленность
- Теория вероятностей
- Теоретическая механика
- Теория управления
- Технология продовольственных продуктов и товаров
- Технологические машины и оборудование
- Теплоэнергетика и теплотехника
- Туризм
- Товароведение
- Таможенное дело
- Торговое дело
- Теория машин и механизмов
- Транспортные средства
Ф
Э