Условие:
Динамика основных показателей деятельности коммерческого банка, млн. руб.

1. Проведите анализ взаимосвязи, выбрав результативный и факторные признаки.
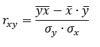
2. Определите парные коэффициенты корреляции.
3. проверьте ряды динамики на автокорреляцию.
4. вычислите парные коэффициенты корреляции по отклонениям от тренда.
5. Найдите уравнение регрессии по отклонениям от тренда.
6. найдите уравнение связи между исследуемыми факторами, включив в него фактор времени.
7. На основании расчетов сделайте выводы.

