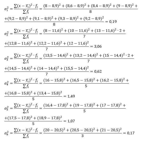
Условие:
По данным группировки (группировка представлена в таблице) проведите анализ колеблемости результативного признака, рассчитав показатели вариации. Рассчитайте общую дисперсию по правилу сложения дисперсий. Сделайте выводы по результатам расчетов.



