Условие:
При 25-% механической выборке были исследованы предприятия по уровню прибыльности
Таблица 12
Исходные данные

На основе исходных данных определить:
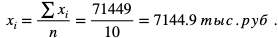
1. Средний уровень прибыли (убытка) в целом по отрасли вероятностью 0,954.
2. Долю убыточных предприятий в целом по отрасли, с вероятностью 0,997.


