Условие:
При выборочном обследовании занятости мужского населения сельских районов области был установлен уровень занятости мужчин 78% со средним квадратическим отклонением
. Численность мужчин трудоспособного возраста области составила 64 тыс.чел.
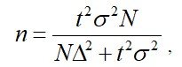
Сколько мужчин трудоспособного возраста области надо включить в выборку, чтобы ошибка при определении уровня занятости не превысила 5% с вероятностью 0,954?

