Условие:
В таблице дано распределение 200 совхозов по затратам труда (человеко-дней на 1 ц зерна) и себестоимости (р. за 1 ц зерна).

Требуется:
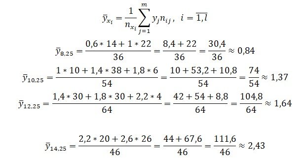
а) вычислить условные средние;
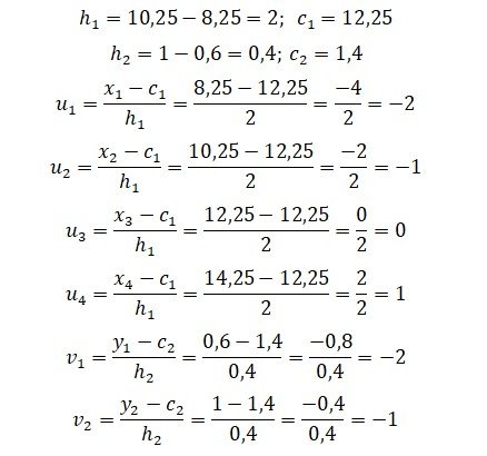
б) вычислить выборочный коэффициент корреляции и проанализировать тесноту связи между признаками;
в) составить выборочное уравнение прямой регрессии и построить её график.


