Условие:
Механизм состоит из стержней 1, 2, 3, 4 и ползуна В, соединенных друг с другом и с неподвижными опорами О1 и О2 шарнирами.
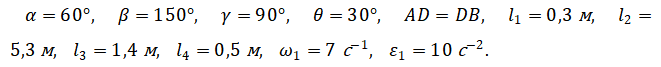
Исходные данные:

Схема механизма
Определить:

Механизм состоит из стержней 1, 2, 3, 4 и ползуна В, соединенных друг с другом и с неподвижными опорами О1 и О2 шарнирами.
Исходные данные:

Схема механизма
Определить:

Звенья 1 и 4 механизма совершают простейшее вращательное движение, звенья 2 и 3 плоское, ползун В движется поступательно. Определим скорость точки А как скорость точки, принадлежащей звену 1: Покажем с учетом направления угловой скорости . Точка В принадлежит одновременно звену 2 и ползуну и в силу наложенных связей может двигаться только вдоль направляющих, следовательно, вектор скорости точки...