Условие:
Определить по теореме Котельникова шаг дискретизации Δt для функции f(t) = 2e-t[t≥0], если относительная величина отсекаемой площади энергетического спектра равна 5%.
![Определить по теореме Котельникова шаг дискретизации Δt для функции f(t) = 2e-t[t≥0], если относительная величина отсекаемой площади энергетического спектра равна 5%.](/public/images/library/external/library-detail-hero-book.png)
Определить по теореме Котельникова шаг дискретизации Δt для функции f(t) = 2e-t[t≥0], если относительная величина отсекаемой площади энергетического спектра равна 5%.
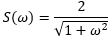
Находим спектральную характеристику:

Тогда:

Далее находим практическую ширину спектра из соотношения:
Не нашел нужную задачу?