Условие:
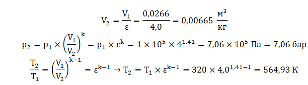
Для идеального цикла поршневого двигателя с подводом теплоты при постоянном объёме определить параметры во всех основных точках, полезную работу, количество подведённой и отведённой теплоты, термический КПД цикла Карно по условиям задачи, если даны p1 = 1 бар, T1 = 320 K , степень сжатия
степень повышения давления
Рабочее тело – воздух, показатель адиабаты k = 1,4. Теплоёмкость рабочего тела принять постоянной ![]()


