Условие:
Определить плотность влажного воздуха при параметрах t=370 °C, p=0,3 МПа, d=30 г/кг. Указание: при расчете использовать уравнение Менделеева-Клайперона.

Определить плотность влажного воздуха при параметрах t=370 °C, p=0,3 МПа, d=30 г/кг. Указание: при расчете использовать уравнение Менделеева-Клайперона.
Дано:
t=370 C
p=0,3 МПа
d=30 г/кг
=?
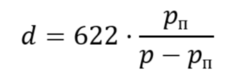
Из формулы влагосодержания:

Отсюда:
Не нашел нужную задачу?