Условие:
Расчет регулирования отпуска теплоты для систем отопления жилых и общественных зданий. Определение основных показателей качества потребления тепловой энергии. Определение расходов сетевой воды в подающем и обратном трубопроводах тепловой сети.
Принципиальная схема системы теплоснабжения представлена на рисунке 3.1.

Температурный график регулирования отопительной тепловой нагрузки в расчетном режиме
: 130/70 C.
Рассчитать температурный перепад в системе отопления в расчетном режиме:

Температура сетевой воды на входе в отопительные приборы жилых и общественных зданий микрорайонов в расчетном режиме 
Найти разность температур сетевой воды в отопительных приборах в расчетном режиме:

Определить температурный напор отопительных приборов в расчетном режиме:

Рассчитать температуру начала “излома” температурного графика:
Температура сетевой воды в подающем трубопроводе тепловой сети в зоне излома: τо1 = 70 ºС
Относительная отопительная тепловая нагрузка: 

Методом последовательных приближений найти значение: 
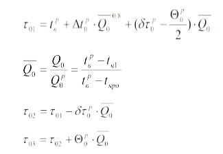
Определить температуру сетевой воды в подающем и обратном трубопроводе тепловой сети и на входе в отопительные приборы в зависимости от температуры наружного воздуха:


и заносим их в сводную таблицу 3.1.