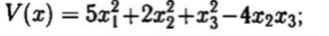
Условие:
Дана квадратичная форма от трех переменных по своему варианту (буква
варианта соответствует порядковому номеру в списке)

Требуется:
1) Составить квадратичную форму в векторно-матричном виде для трех
переменных для своего варианта, получить из нее скалярную функцию.
2) Используя критерий Сильвестра, определить, является ли положительно
определенной заданная квадратичная форма по своему варианту.

задаётся следующим образом: