Условие:
Дана система трех линейных уравнений с тремя неизвестными. Требуется:
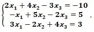
Найти ее решение с помощью формул Крамера.


Дана система трех линейных уравнений с тремя неизвестными. Требуется:
Найти ее решение с помощью формул Крамера.

Пусть
- основная матрица системы.
- матрица неизвестных. - матрица свободных элементов.
Не нашел нужную задачу?