Условие:
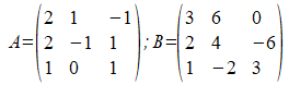
Даны две матрицы:

Найти: АВ; ВА

Даны две матрицы:

Найти: АВ; ВА

Главный определитель
∆=2∙((-1)∙1 - 0∙1) - 2∙(1∙1 - 0∙(-1)) + 1∙(1∙1 - (-1)∙(-1)) = -4
Определитель отличен от нуля, следовательно, матрица является невырожденной и для нее можно найти обратную матрицу A-1.
Обратная матрица будет иметь следующий вид:
Не нашел нужную задачу?