Условие:
Даны координаты вершин треугольника 
Требуется:
1) вычислить длину стороны 
2) составить уравнение стороны 
3) найти внутренний угол треугольника при вершине В ;
4) составить уравнение высоты АК, проведенной из вершины А ;
5) найти координаты центра тяжести однородного треугольника (точки пересечения его медиан);
6) сделать чертеж в системе координат.
Решение:
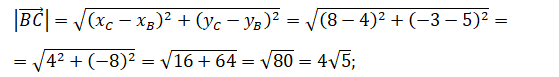
1) Найдем длину стороны BC:

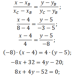
2) Запишем уравнение стороны ВС

3) Найдем координаты векторов
