1. Главная
  2. Библиотека
  3. Высшая математика
  4. Доказать следующее равенство:
Решение задачи на тему

Доказать следующее равенство:

  • Высшая математика
Доказать следующее равенство:

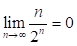
Условие:

Доказать следующее равенство:

Решение:

Используем свойства пределов:

Так как

Выбери предмет