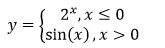
Условие:
Исследовать функцию y=f(x) на непрерывность. Построить график функции. Указать характер точек разрыва и величину скачка.


Исследовать функцию y=f(x) на непрерывность. Построить график функции. Указать характер точек разрыва и величину скачка.

Функция непрерывна на каждом из интервалов (-;0);(0;+)
Исследуем на непрерывность точки x=0
Пусть x=0. Найдем пределы слева и справа:
Не нашел нужную задачу?