Начальное приближение определить графически. Использовать пакеты Maxima и Excel. Решить эту задачу с помощью встроенных функции (newton,real_roots…)
«Начальное приближение определить графически. Использовать пакеты Maxima и Excel.
Решить эту задачу с помощью встроенных функции (newton,real_roots…)»
- Высшая математика
Условие:
Методом Ньютона найти корень уравнения
на отрезке
с точностью 0,0001. (См. таблицу П.4.)
1. Начальное приближение определить в пункте графически. Использовать пакеты Maxima и Excel.
2. Решить эту задачу с помощью встроенных функции (newton,real_roots…)

Решение:
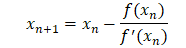
Метод Ньютона (касательных):
Пока не выполнено условие остановки, в качестве которого можно взять

(то есть погрешность в нужных пределах), вычисляем новое приближение:

Похожие задачи
Не нашел нужную задачу?
Воспользуйся поиском
AI помощники
Выбери предмет
S
А
Б
В
Г
И
К
М
П
- Правоохранительные органы
- Пожарная безопасность
- Парикмахерское искусство
- Природообустройство и водопользование
- Почвоведение
- Приборостроение и оптотехника
- Промышленный маркетинг и менеджмент
- Производственный маркетинг и менеджмент
- Процессы и аппараты
- Программирование
- Право и юриспруденция
- Психология
- Политология
- Педагогика
С
Т
- Трудовое право
- Теория государства и права (ТГП)
- Таможенное право
- Теория игр
- Текстильная промышленность
- Теория вероятностей
- Теоретическая механика
- Теория управления
- Технология продовольственных продуктов и товаров
- Технологические машины и оборудование
- Теплоэнергетика и теплотехника
- Туризм
- Товароведение
- Таможенное дело
- Торговое дело
- Теория машин и механизмов
- Транспортные средства
Ф
Э