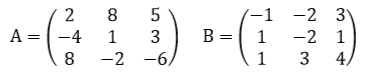
Найти матрицу С = А - 3В
Функция спроса на продукцию фирмы-монополиста «А» имеет вид Qd=902–5p. Её общие издержки характеризуются функцией ТС=2000+0,2q2. Деятельность фирмы соответствует условию максимизации прибыли. Найти MR
Высшая математика
С помощью преобразования Лапласа решить дифференциальное уравнение при заданных начальных условиях.
Решить систему линейных алгебраических уравнений (СЛАУ) тремя способами: 1) Методом Крамера 2) Матричным методом 3) Методом Гаусса
GPT бот для написания реферата
Нейронка для генерации проектных работ
Нейронка для решения задач
Нейронка для решения задач по фото
Нейронка для генерации научных статей
Нейронка для отчёта по практике
Нейронка для помощи с курсовой
Нейронка для решения физики по фото
Нейронка для генерации списков литературы
Нейронка для решения задач по математике