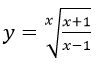
Найти производную
Площадь острия иголки равна 0,0005 мм в квадрате. Какое давление оказывает игла на ткань, если швея нажимает на иглу перпендикулярно поверхности ткани с силой 5,5 Н?
Высшая математика
Вычислить неопределенные интегралы, результат проверить дифференцированием.
В треугольнике две стороны равны 8 см и 13 см, а косинус угла между ними равен 5/13. Найдите площадь треугольника.
GPT бот для написания реферата
Нейронка для генерации проектных работ
Нейронка для решения задач
Нейронка для решения задач по фото
Нейронка для генерации научных статей
Нейронка для отчёта по практике
Нейронка для помощи с курсовой
Нейронка для решения физики по фото
Нейронка для генерации списков литературы
Нейронка для решения задач по математике