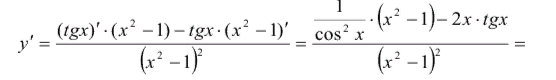
Найти производную функции:
Высшая математика
Вычислить площадь фигуры, ограниченной линиями:
На карточках записаны буквы слова «ТЕЛЕБАНКИНГ». Наудачу вынимают 4 карточки и раскладывают их в порядке появления. Найти вероятность того, что получится слово «БАНК».
Не нашел нужную задачу?
GPT бот для написания реферата
Нейронка для генерации проектных работ
Нейронка для решения задач
Нейронка для решения задач по фото
Нейронка для генерации научных статей
Нейронка для отчёта по практике
Нейронка для помощи с курсовой
Нейронка для решения физики по фото
Нейронка для генерации списков литературы
Нейронка для решения задач по математике