Найти сумму чисел
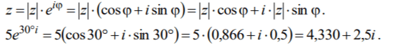
Здесь оба числа записаны в показательной форме. Переведем оба числа в алгебраическую форму, используя тригонометрическую форму записи:
Значения синусов и косинусов найдем...
Для выборки объема , определить среднее выборочное, выборочную дисперсию, «исправленную» выборочную дисперсию. Построить таблицу, содержащую интервальный вариационный ряд.
Высшая математика
Даны координаты вершин пирамиды A1A2A3A4. Средствами векторной алгебры найти: 1) длину ребра A1A2 , 2) уравнение прямой A1A2, 3) уравнение плоскости A2A3A4 , 4) угол между ребром A1A2 и плоскостью A2A3A4.
В магазин с k=3 кассами заходит в среднем t=4 покупателей в τ=1 минуту. Среднее время обслуживания t=13 минуты. Определить вероятность простоя, среднюю длину очереди, среднее
GPT бот для написания реферата
Нейронка для генерации проектных работ
Нейронка для решения задач
Нейронка для решения задач по фото
Нейронка для генерации научных статей
Нейронка для отчёта по практике
Нейронка для помощи с курсовой
Нейронка для решения физики по фото
Нейронка для генерации списков литературы
Нейронка для решения задач по математике