Условие:
Найти значения х, при которых производная функции
отрицательна.

Найти значения х, при которых производная функции
отрицательна.
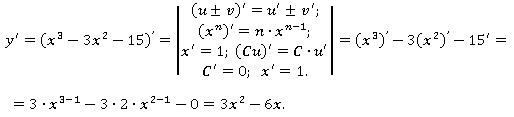
Найдем производную данной функции:

Чтобы ответить на вопрос задания, решим неравенство:
Не нашел нужную задачу?