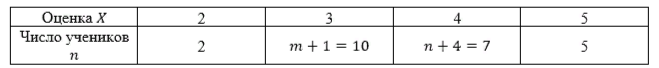
Условие:
По результатам контрольной работы по математике были получены следующие результаты:

1. Построить полигон частот.
2. Найти числовые характеристики вариационного ряда:
а) размах вариации;
б) выборочную среднюю арифметическую;
c) выборочную дисперсию;
d) выборочное среднее квадратическое отклонение;
e) эмпирическую функцию распределения;
f) моду;
g) медиану;
h) коэффициент вариации.

