Условие:
Решить графически задачу линейного программирования


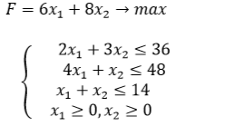
Решить графически задачу линейного программирования

Введем систему декартовых координат на плоскости х1Ох2, и построим области, описываемые системой ограничений.
Каждое неравенство определяет полупрлоскость с границей , задаваемой прямой. Множество решений системы есть пересечение полуплоскостей.
Выпишем систему соответствующих граничных прямых
