Решение задачи
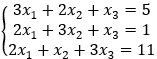
Решить систему линейных уравнений, используя формулы Крамера. Сделать проверку. три икс один плюс два икс два плюс икс три равно пять два икс один плюс три икс два плюс икс три равно один
- Высшая математика
Условие:
Решить систему линейных уравнений, используя формулы Крамера. Сделать проверку.

Решение:
Запишем матрицу системы:

Запишем столбец свободных членов и столбец неизвестных:

Найдем определитель матрицы системы:
Похожие задачи
Не нашел нужную задачу?
Воспользуйся поиском
Выбери предмет
S
А
Б
В
Г
И
К
М
П
- Правоохранительные органы
- Пожарная безопасность
- Парикмахерское искусство
- Природообустройство и водопользование
- Почвоведение
- Приборостроение и оптотехника
- Промышленный маркетинг и менеджмент
- Производственный маркетинг и менеджмент
- Процессы и аппараты
- Программирование
- Право и юриспруденция
- Психология
- Политология
- Педагогика
Р
С
Т
- Трудовое право
- Теория государства и права (ТГП)
- Таможенное право
- Теория игр
- Текстильная промышленность
- Теория вероятностей
- Теоретическая механика
- Теория управления
- Технология продовольственных продуктов и товаров
- Технологические машины и оборудование
- Теплоэнергетика и теплотехника
- Туризм
- Товароведение
- Таможенное дело
- Торговое дело
- Теория машин и механизмов
- Транспортные средства
Ф
Э