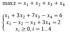
Решить задачу симплекс методом.
Введем искусственные переменные х5 и х6
Отношение, определенное в задании номер два - один, исследовать на рефлексивность, антирефлексивность, симметрию, антисимметрию и транзитивность.
Высшая математика
Указание: введите обозначения для атомарных утверждений и определите, какие логические операции использованы в предложениях.
Даны комплексные числа z1 = 6, z2 = - 2, z3 = 5i, z4 = -3i, Изобразить числа на комплексной плоскости, записать в тригонометрической и показательной форме.
GPT бот для написания реферата
Нейронка для генерации проектных работ
Нейронка для решения задач
Нейронка для решения задач по фото
Нейронка для генерации научных статей
Нейронка для отчёта по практике
Нейронка для помощи с курсовой
Нейронка для решения физики по фото
Нейронка для генерации списков литературы
Нейронка для решения задач по математике