Условие:
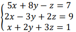
Решить систему линейных уравнений:


Решить систему линейных уравнений:

Решим данную систему методом Крамера, сначала найдём определитель основной матрицы:

Так как данный определитель не равен нулю, мы можем решить данную систему по методу Крамера. Решение найдём по...
Не нашел нужную задачу?